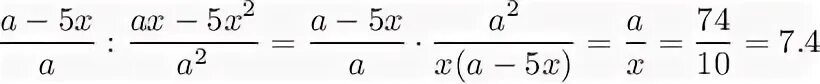
X 2ax a