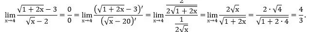
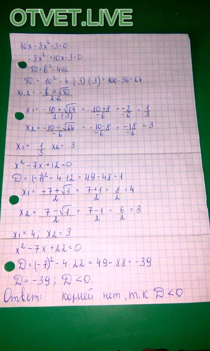
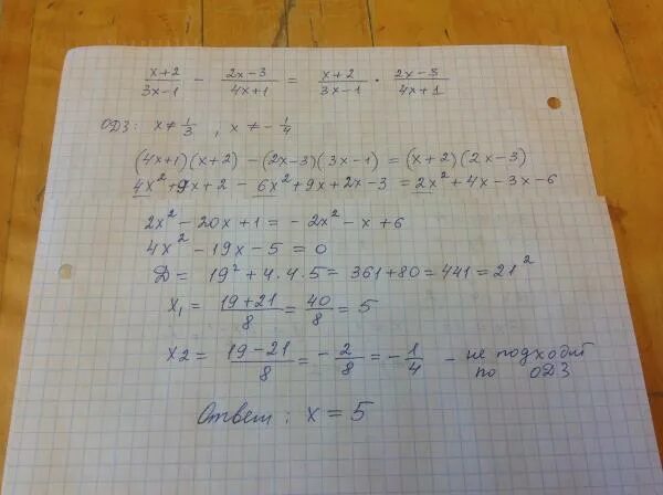
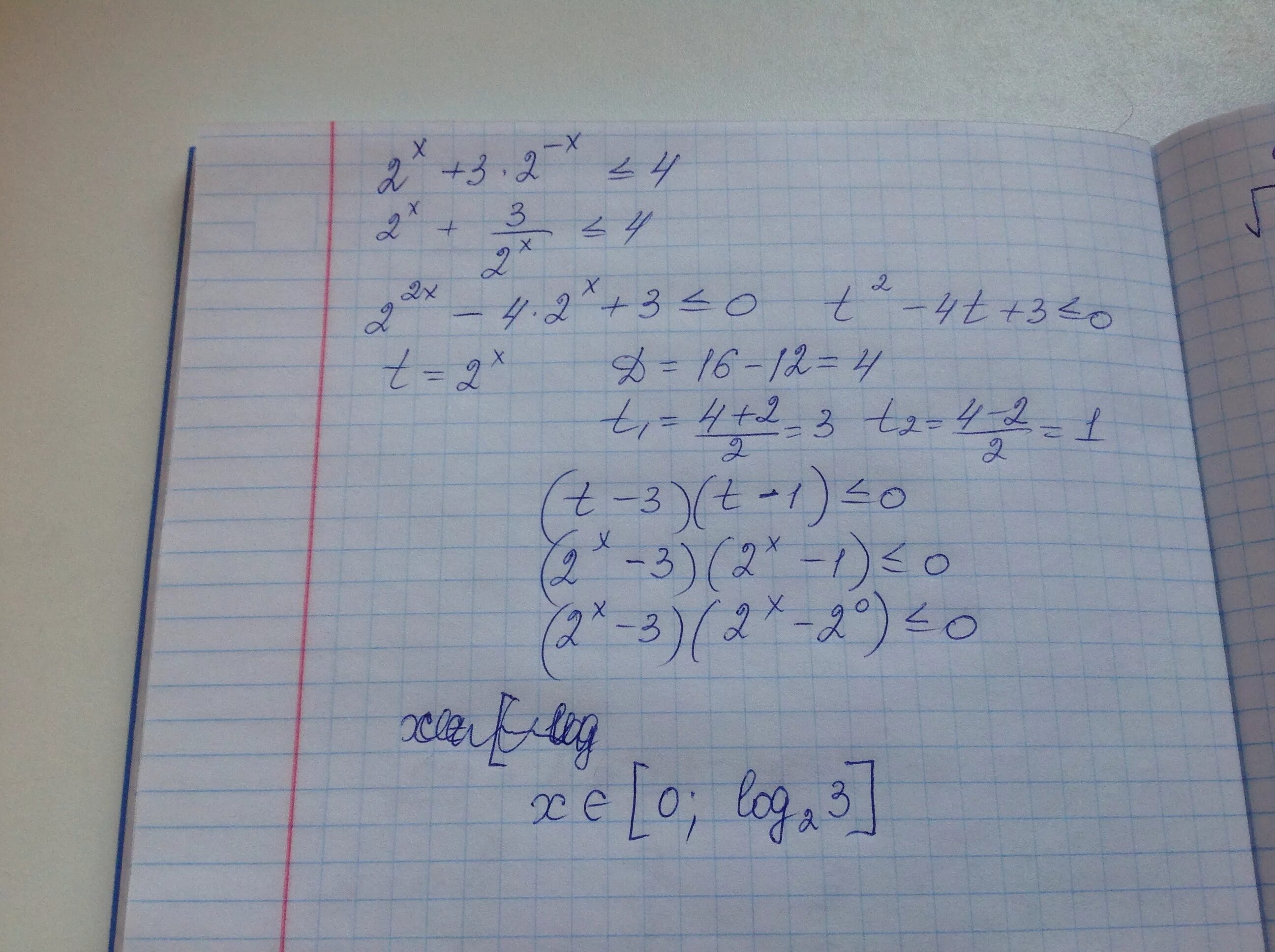
X 4 2 x 22 2