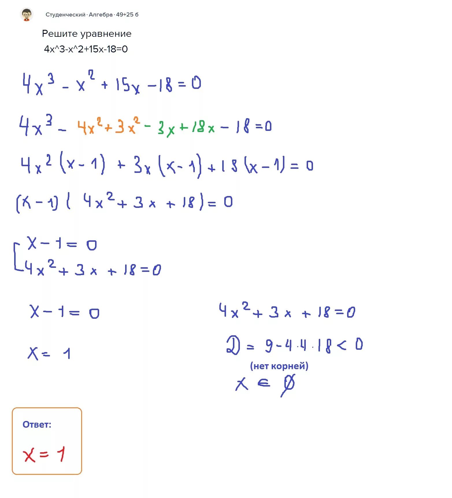
X 4 2x 2 11 0