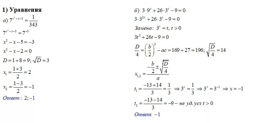
X x 2 3 решение алгебра