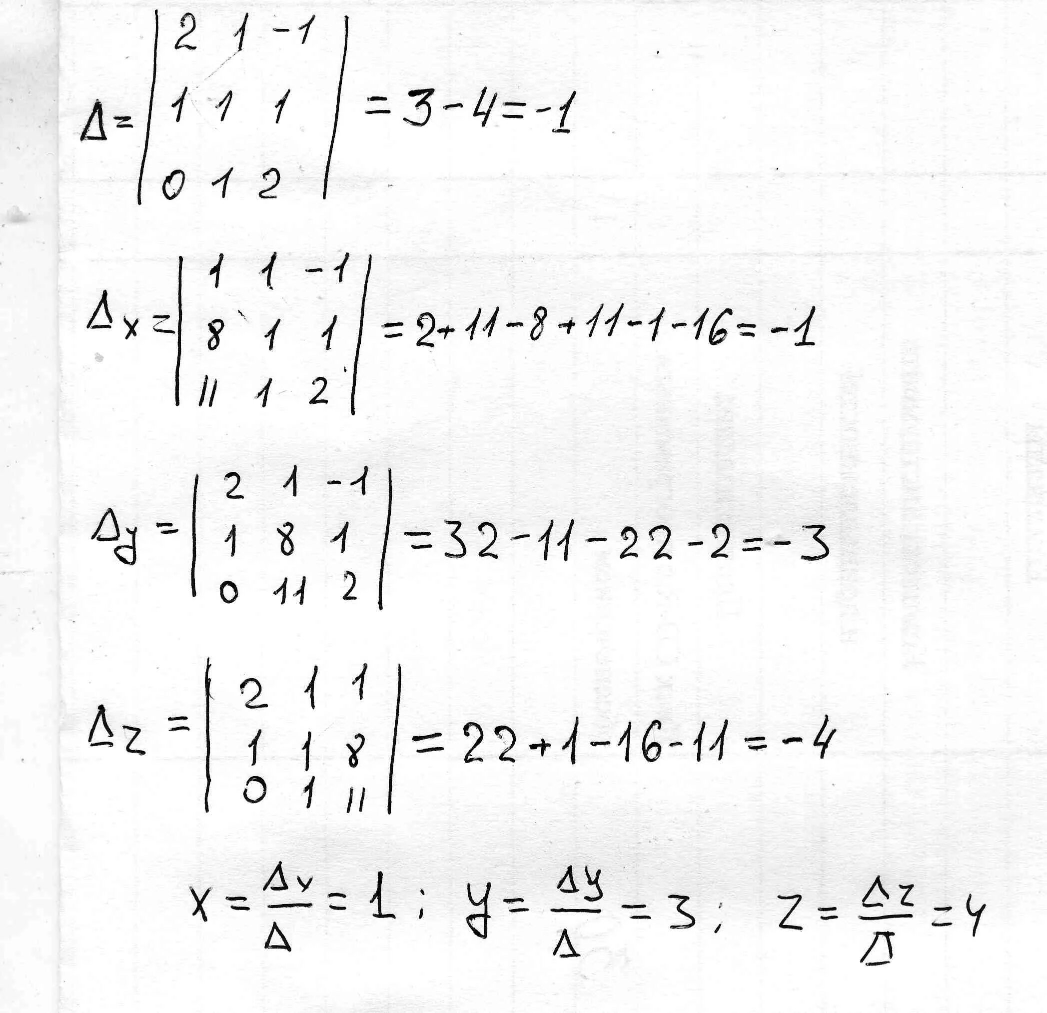
X y z 5