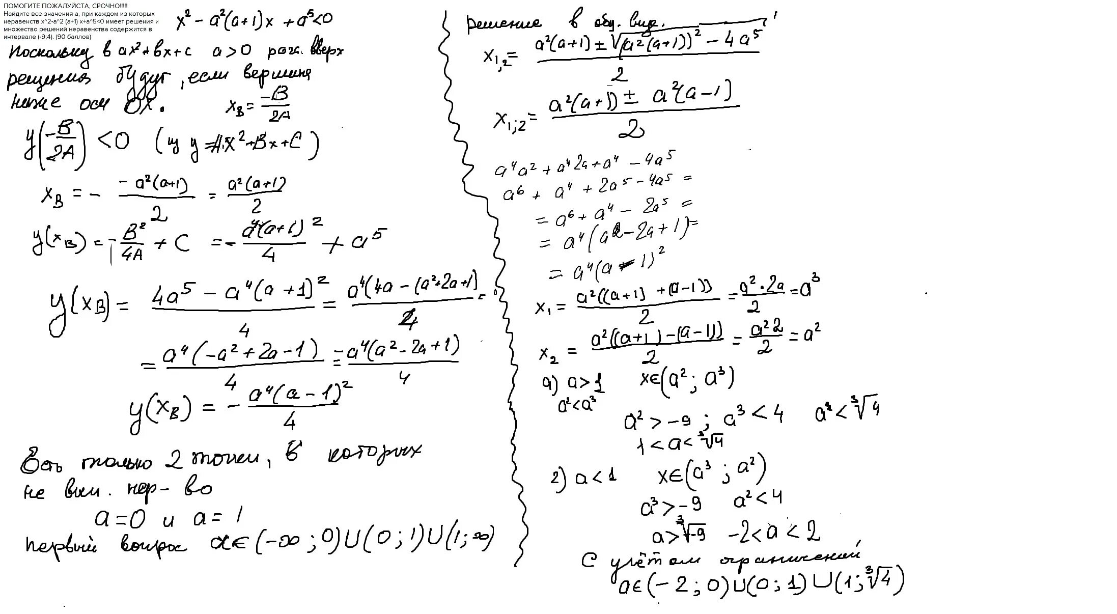
X2 4x a2