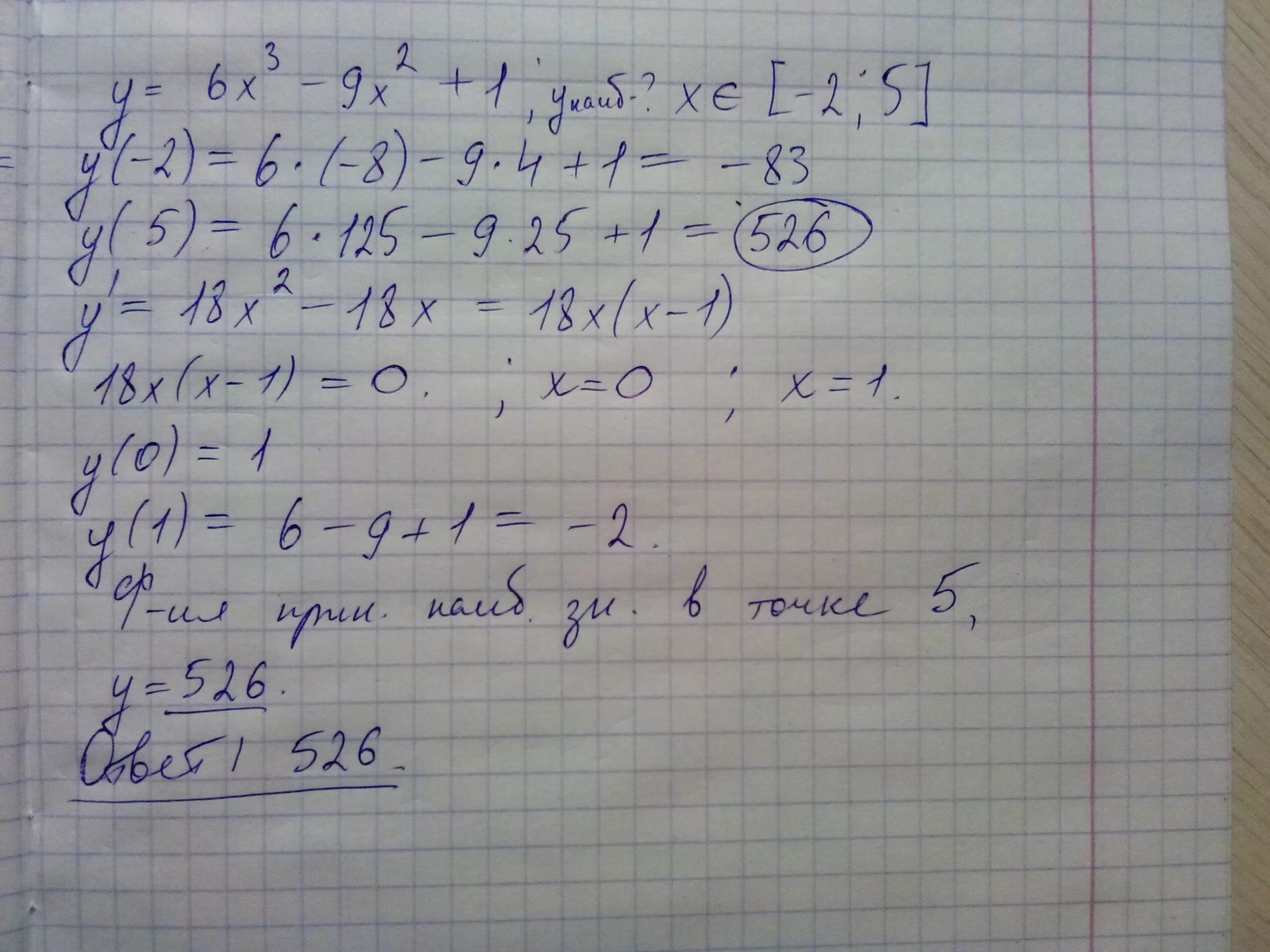
X2 6x 4 найти наибольшее значение