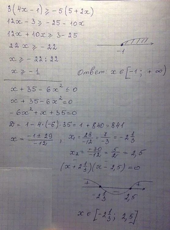
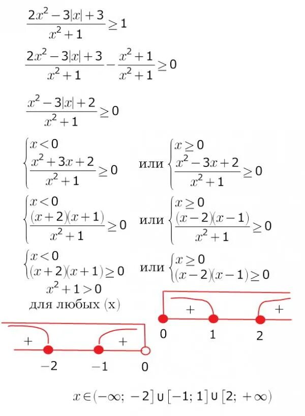
X2 x 3 больше 0