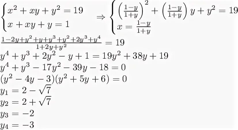
X2 xy y2 7 решите систему