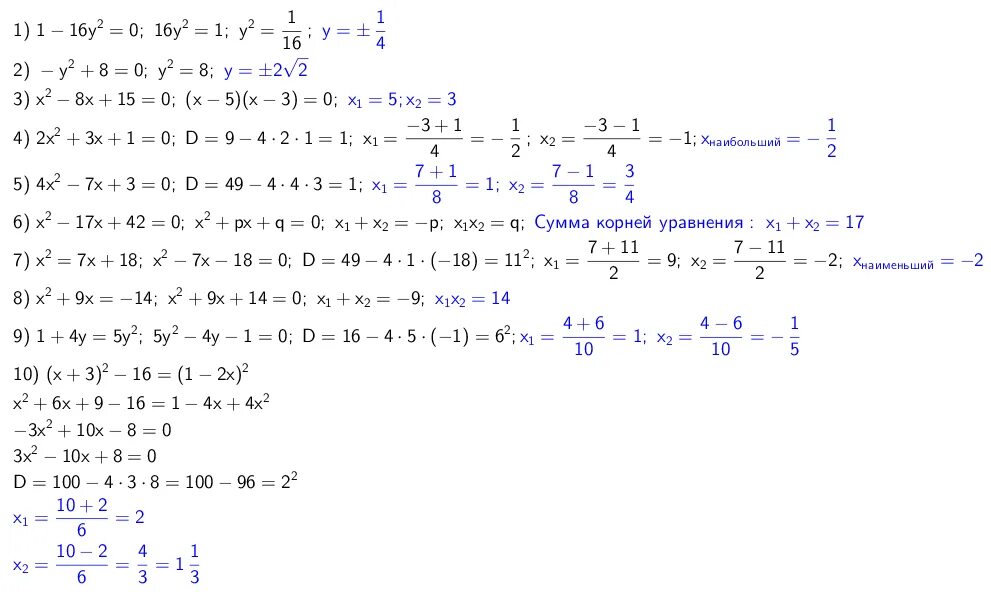
X3 2x2 x 3 1 4