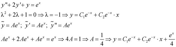
Y n x e x