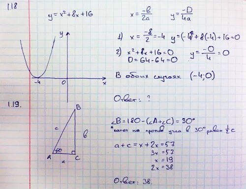
Y x 2 4x 10