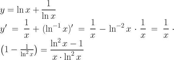
Y x ln x 4 1