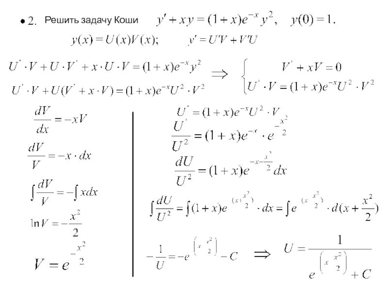
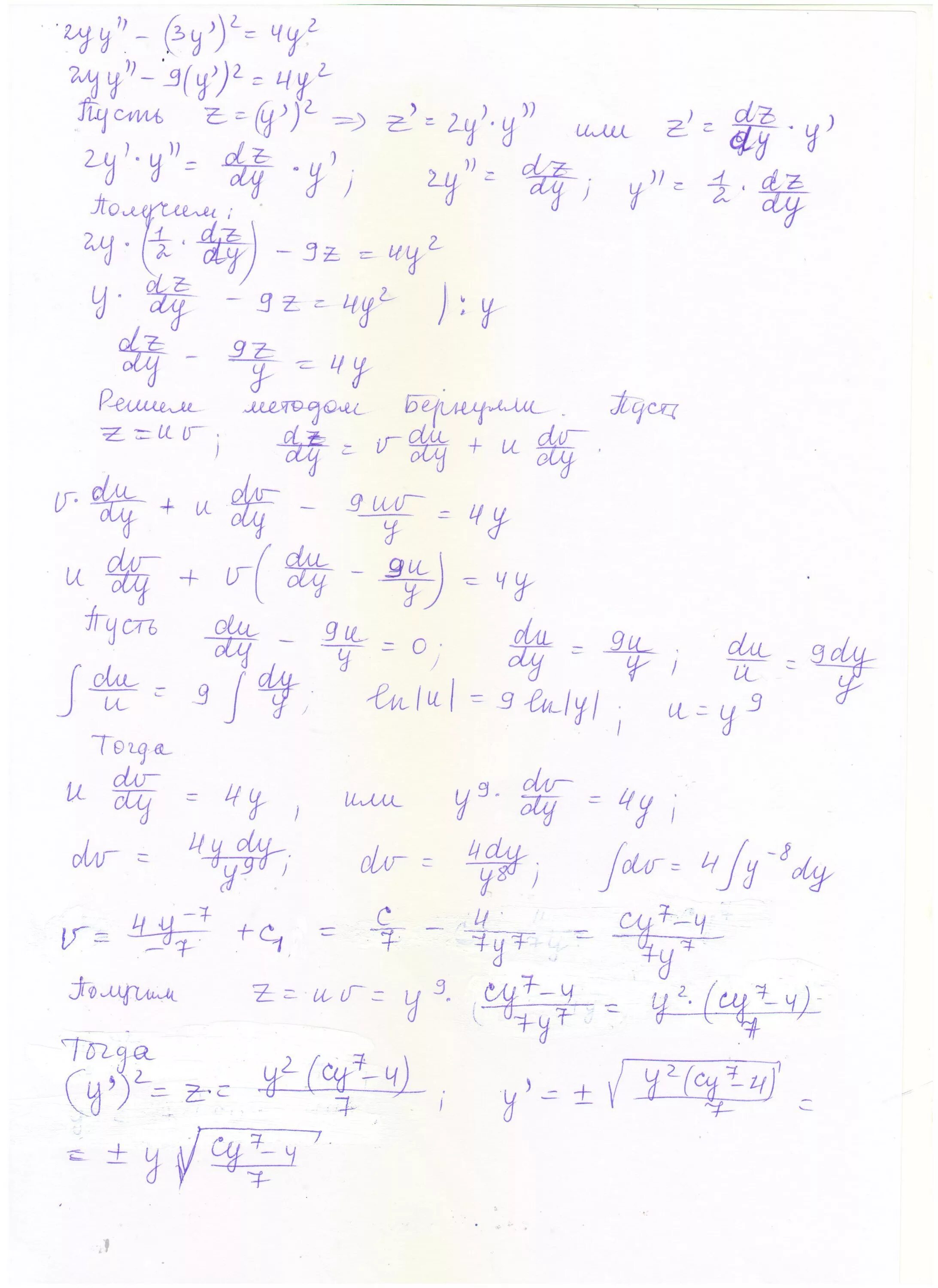
Задача 2 решить задачу коши