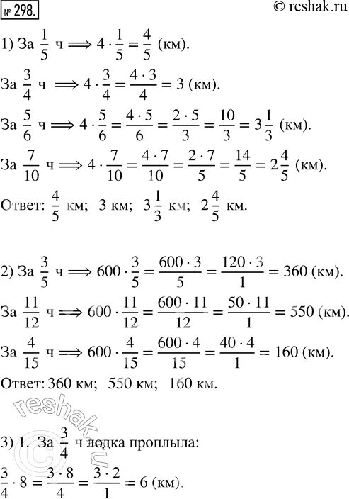
Задача 230