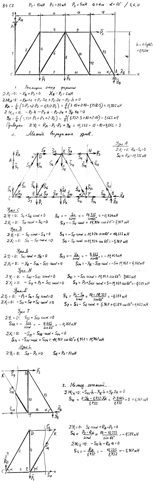
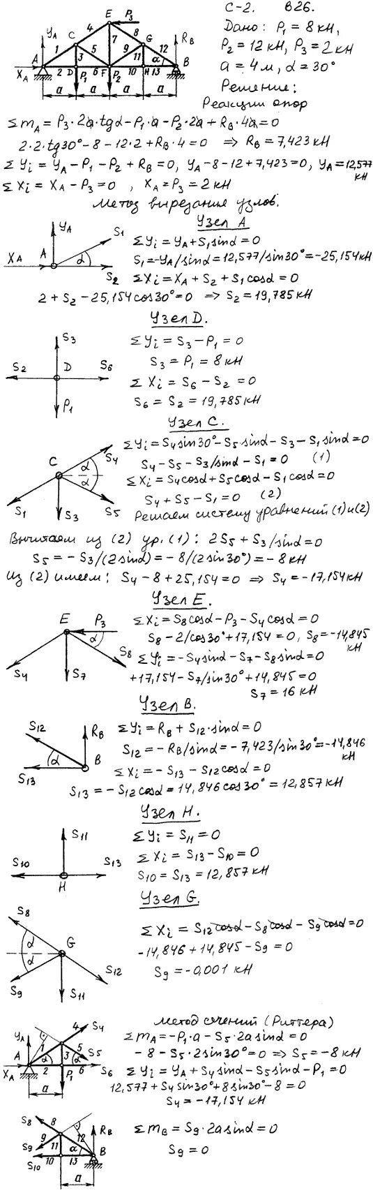
Задача ферма решение