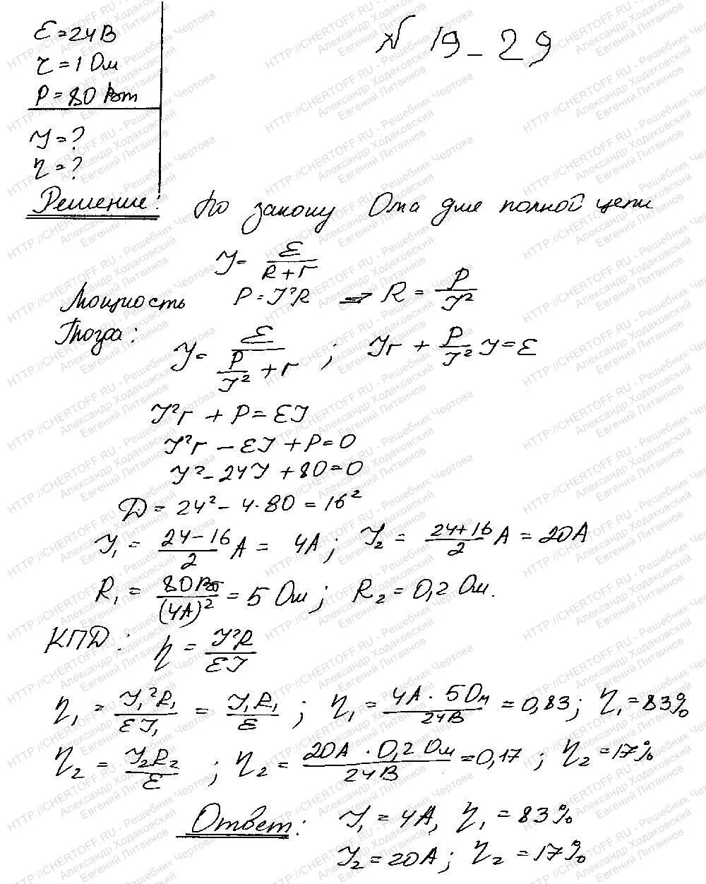
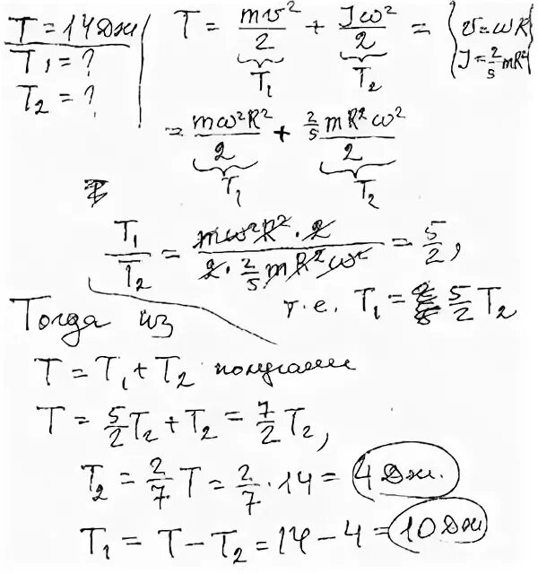
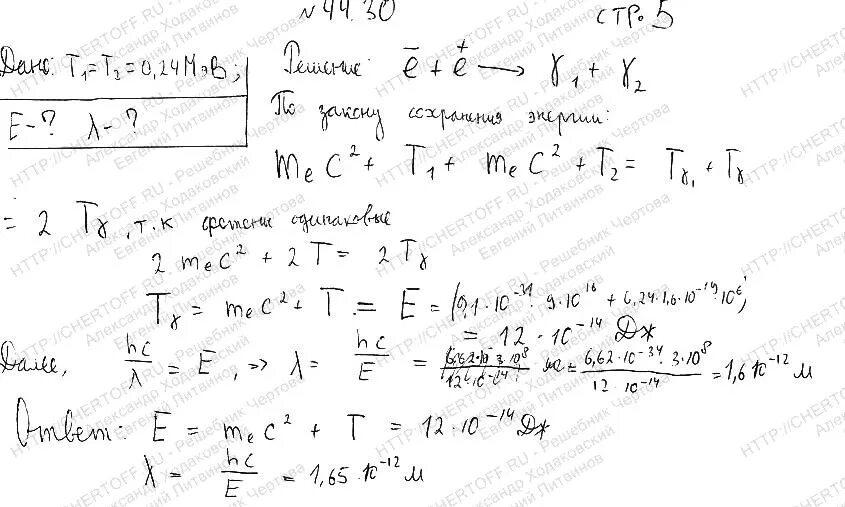
Задачи чертов воробьев