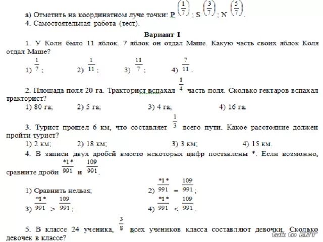
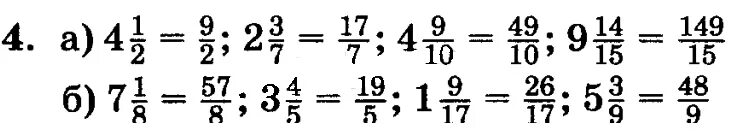
Задачи с дробями 4 класс петерсон