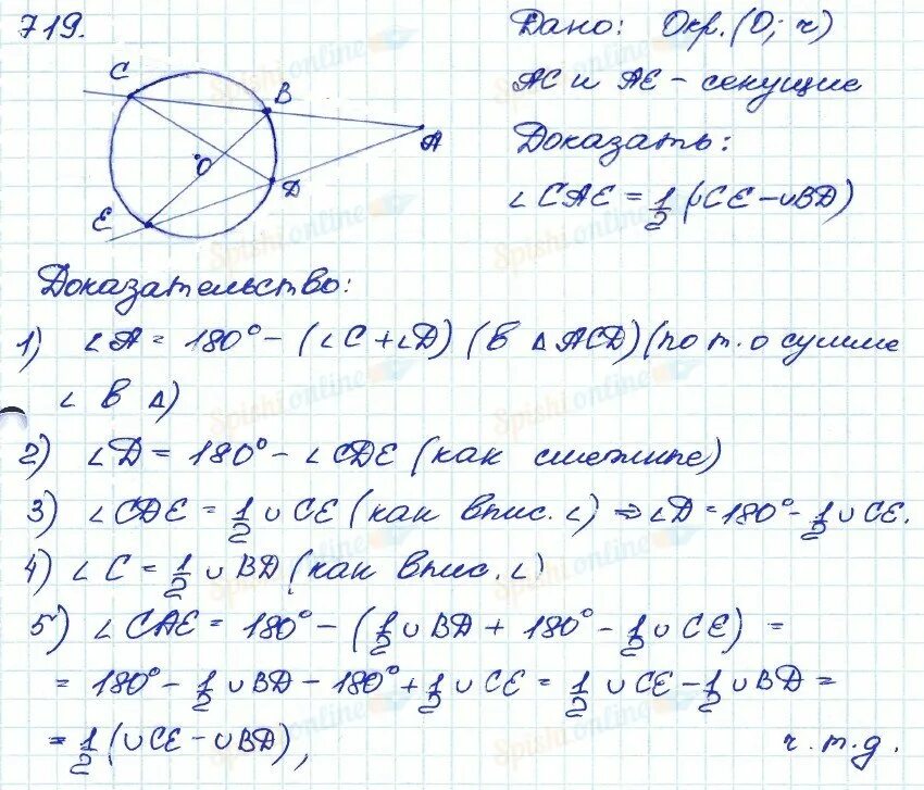
Задание 19 геометрия 8 класс