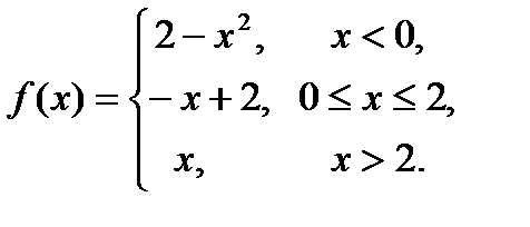
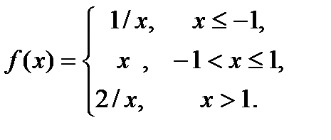
Задание 5 no 2