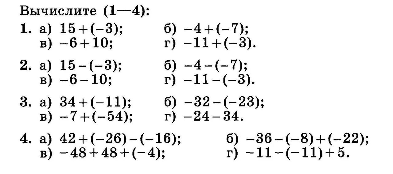
Задание сложение отрицательных чисел