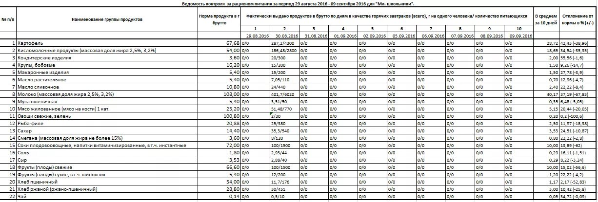
Журнал рацион питания