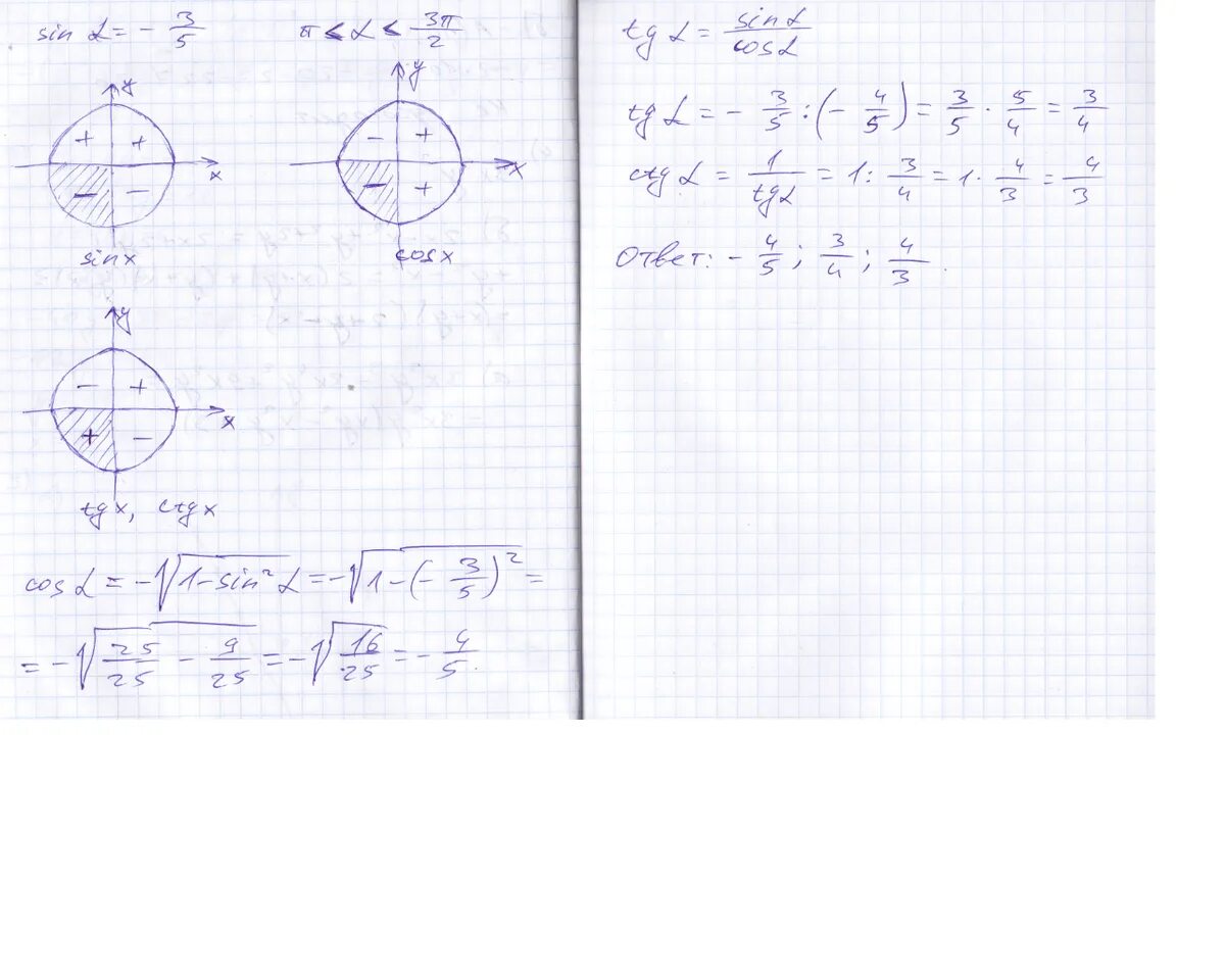
Значение 3п 4