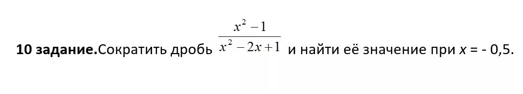
Значение у при х 0 5