Главная
»
Значения выражения огэ
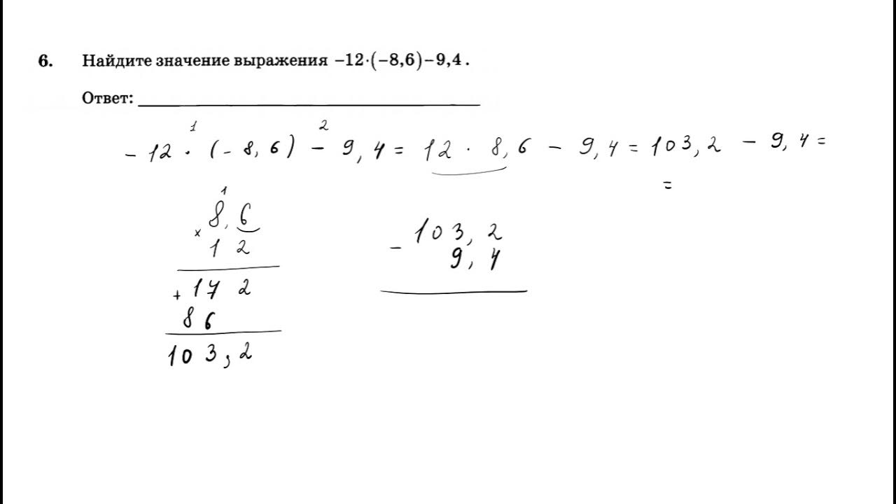
Значения выражения огэ. Найдите значение выражения огэ 2025. задание 6 огэ математика 2025. 6 задание огэ по математике 2025. найти значение выражения 8 огэ.
« Предыдущее
80 / 84
Следующее »