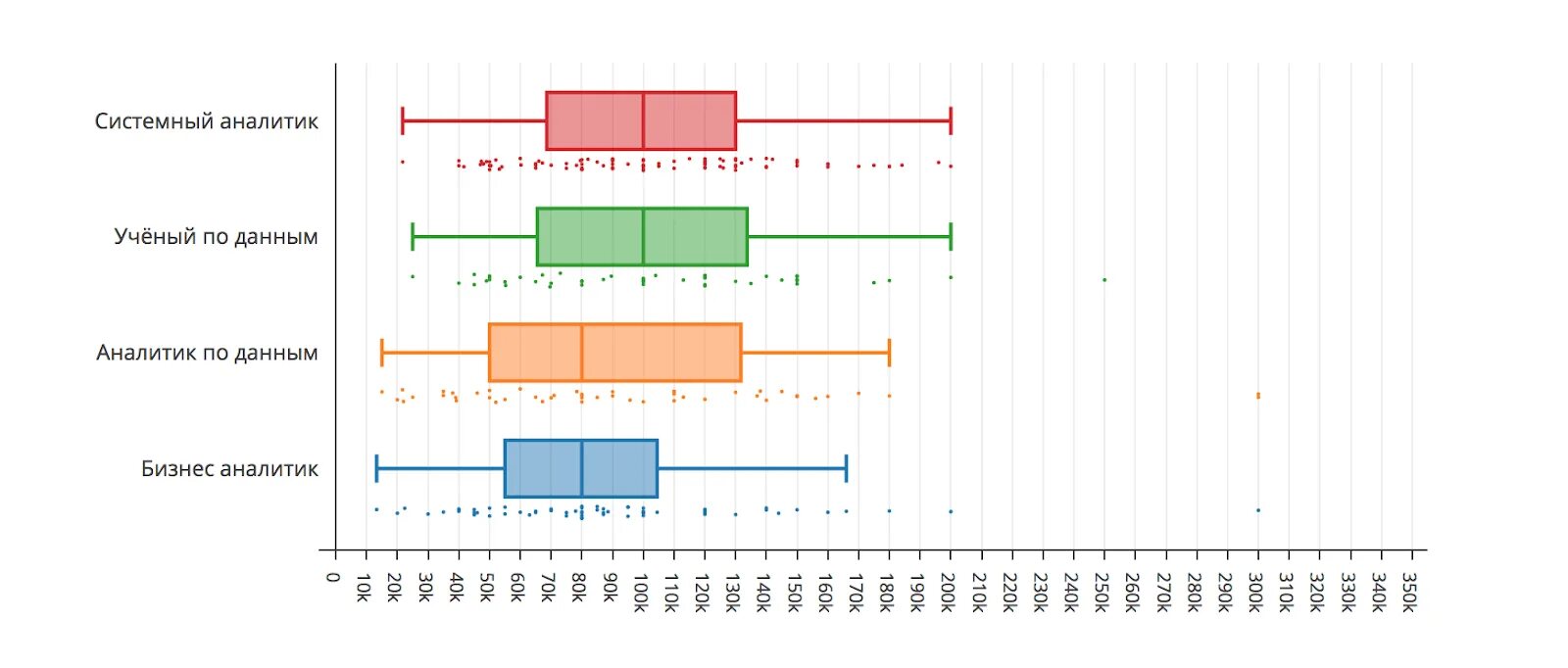
Зп аналитика данных