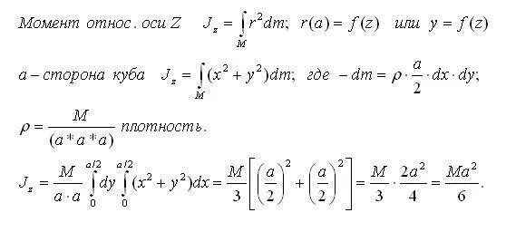
Момент инерции параллелепипеда