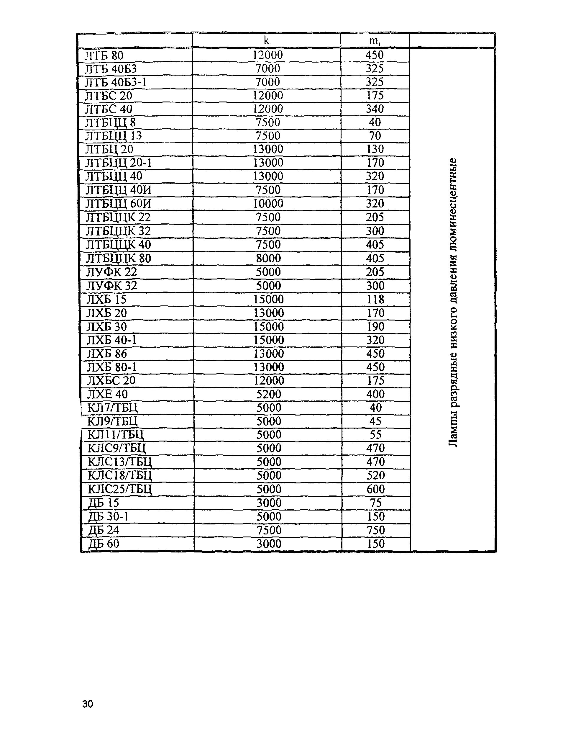
Мро методика расчета объемов образования отходов