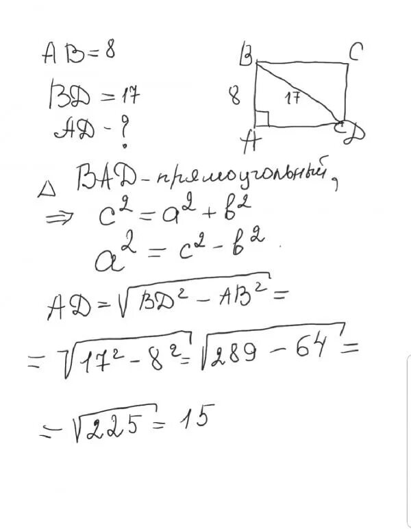
Одна сторона прямоугольника равна 16 см