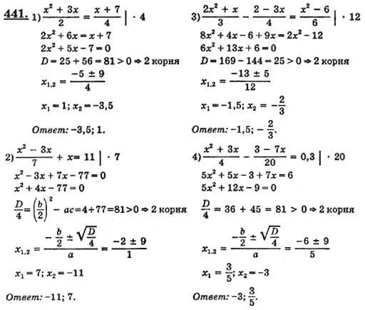
Учебник по алгебре 8 класс номер 12