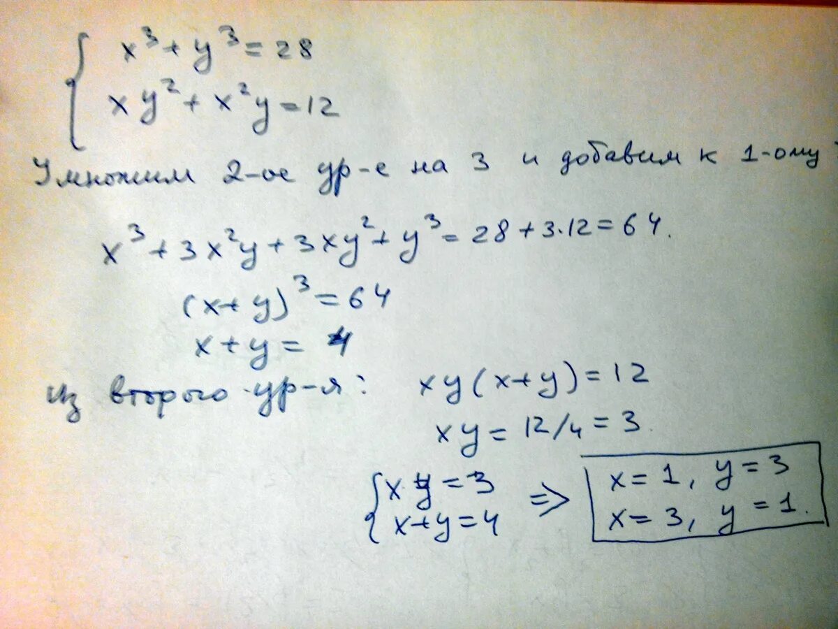
Y x 4 28